
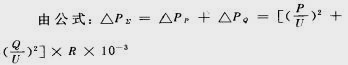
在低壓輸配電系統中經常用到電容無功補償,但是電容放在哪里無功補償的效果最好呢? 式中ΔP∑——電網總損耗kW ΔPP、ΔPQ——電網輸送有功功率、無功功率時造成的有功損耗kW P、Q——有功功率、無功功率kW、...

在我國,電機所耗電能占整個工業用電的60%~68%,電機等感性負載所引起的無功損耗是電網無功損耗的主要來源,而大中型電機又是許多工礦企業的主要用電設備,因此,如何減少大中型電機造成的無功損耗成為許多工業企業...

一種以硅單晶為基本材料的P1N1P2N2四層三端器件,創制于1957年,由于它特性類似于真空閘流管,所以國際上通稱為硅晶體閘流管,簡稱晶閘管T。又由于晶閘管最初應用于可控整流方面所以又稱為硅可控整流元件,簡稱為可...

一、可控硅的概念和結構? 晶閘管又叫可控硅。自從20世紀50年代問世以來已經發展成了一個大的家族,它的主要成員有單向晶閘管、雙向晶閘管、光控晶閘管、逆導晶閘管、可關斷晶閘管、快速晶閘管,等等。今天大家使用...

在中頻爐中整流側關斷時間采用KP-60微秒以內,逆變側關短時間采用KK-30微秒以內這也是KP管與KK管的主要區別. 晶閘管T在工作過程中,它的陽極A和陰極K與電源和負載連接,組成晶閘管的主電路,晶閘管的門極G和陰極K與...

可關斷晶閘管GTO(GateTurn-OffThyristor)亦稱門控晶閘管。其主要特點為,當門極加負向觸發信號時晶閘管能自行關斷。 前已述及,普通晶閘管(SCR)靠門極正信號觸發之后,撤掉信號亦能維持...

電力電子技術的發展方向之一是工作頻率越來越高,從以前的工頻(50HZ、60HZ)、中頻(數百HZ到一千多HZ),到現在的高頻(數千HZ以上)。出現了開關電源、逆變焊機、變頻器等許多新品,他們的出現,充分展示了電力電子新技...

無功功率補償的目的是提高功率因數,降低無功損耗,在進行新廠礦的電氣設計時,首先要對用電網絡進行負荷計算,然后根據負荷計算情況,進行無功功率補償,選擇相應的補償方法,選擇補償器。 1、最大負荷補償計算法 &...