
1 引言 某廠A1024A單臂四米龍門刨床,其電氣系統由主拖動和控制系統兩部分組成。電氣主拖動系統是JF-D直流調速系統,電控部分采用繼電邏輯控制系統。因已運行了三十多年,電氣系統存在著嚴重的老化現象,設備...

JYN1-40.5移開式交流金屬封閉高壓開關柜,具有“五防”即:防止誤操作斷路器,防止帶負荷推拉手車,防止帶電掛接地線,防止帶接地線送電,防止誤入帶電間隔功能。它適用于三相交流50Hz,額定電壓35kV的配電系統中,...

高壓開關柜分類 a)、按斷路器安裝方式分 按斷路器安裝方式分為移開式(手車式)和固定式 (1)、移開式或手車式(用Y表示):表示柜內的主要電器元件(如:斷路器)是安裝在可抽出的手車上的,由于手車柜有很好的...

1、電網電壓等級對應的中壓開關柜電壓等級各是多少,為什么開關柜的電壓要比對應的電網電壓高(如35KV電網對應40.5KV開關柜),是如何計算出來的,有沒有相關標準要求等規范(如國標等)? 6kv系統電壓等級對應7.2kv開...

分析其原因高壓開關柜故障原因,多發生在絕緣、導電和機械方面。 (一)拒動、誤動故障 這種故障是高壓開關柜最主要的故障,其原因可分為兩類。一類是因操動機構及傳動系統的機械故障造成,具體表現為機構卡澀,部...

一.引言 高低壓開關柜是一種電氣設備,外線先進入柜內主控開關,然后進入分控開關,各分路按其需要設置。如儀表,自控,電動機磁力開關,各種交流接觸器等,有的還設高壓室與低壓室開關柜,設有高壓母線,如發電廠...

高壓無功補償柜內電容器的保護主要是跌落式熔斷器,裝配在電容器高壓接線柱上,當無功補償系統發生故障時,故障電流使熔絲迅速熔斷,并形成電弧,消弧管受電弧灼熱,分解出大量的氣體,使管內形成很高壓力,并沿管道...

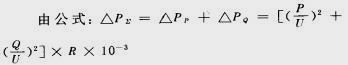
在低壓輸配電系統中經常用到電容無功補償,但是電容放在哪里無功補償的效果最好呢? 式中ΔP∑——電網總損耗kW ΔPP、ΔPQ——電網輸送有功功率、無功功率時造成的有功損耗kW P、Q——有功功率、無功功率kW、...